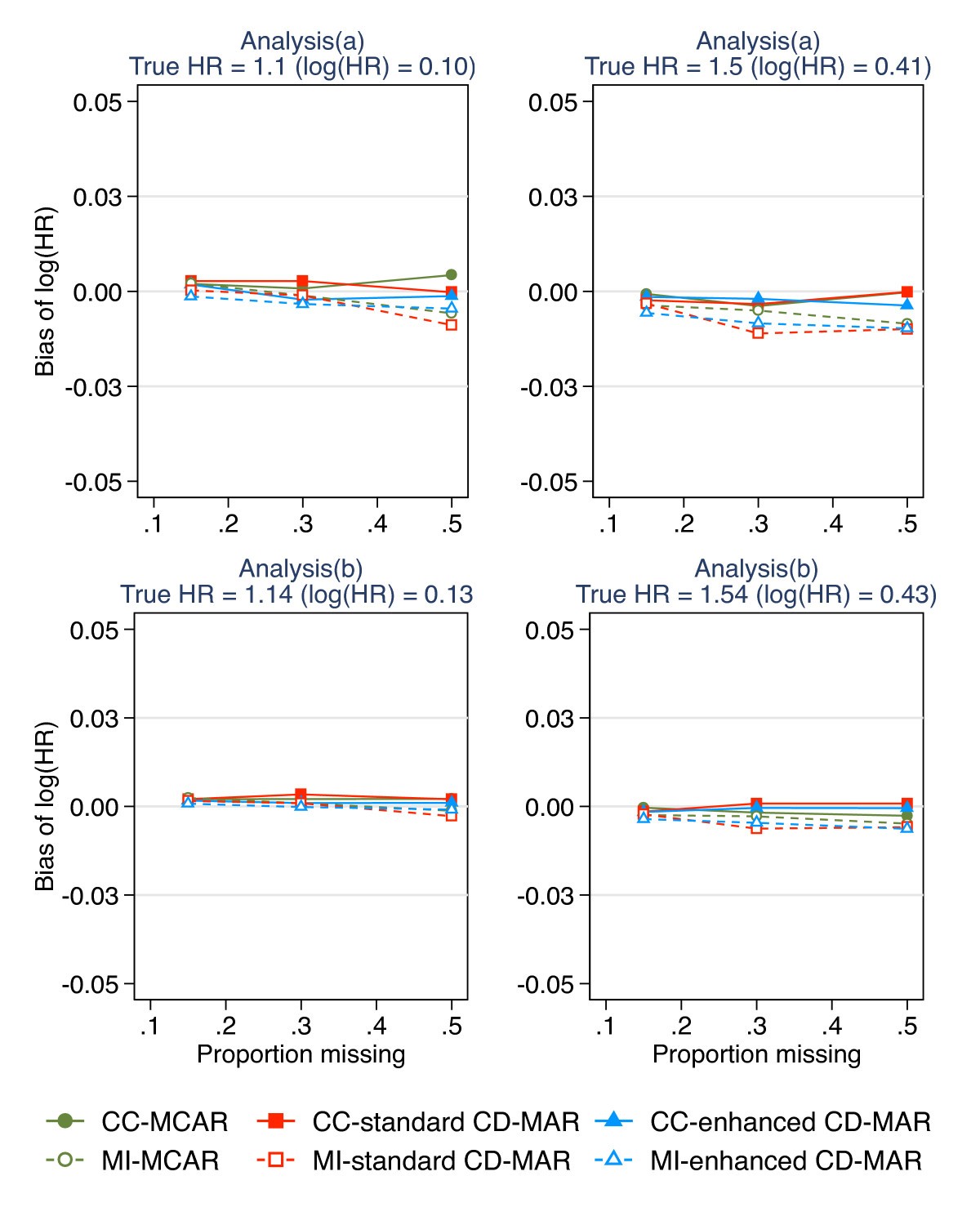
Figure 1

Absolute bias for complete-case analysis and MI for increasing proportions of missing data (0.15, 0.3, 0.5) under three missing data scenarios (a) corresponds to the epidemiological analysis of absolute change in waist circumference adjusting for waist circumference at wave 1; (b) corresponds to the epidemiological analysis of waist circumference at wave 2 (without adjusting for waist circumference at wave 1); CD-MAR refers to Covariate-dependent MAR scenario.